2024. 10. 16. 15:20ㆍ카테고리 없음
전공서에 적혀있는
고윳값의 개념이 전혀 이해가 되지 않는다면,
잘 찾아오셨습니다 :)
여러분들이 이해하기 쉽도록 잘 설명해보겠습니다.
우선, 벡터는 방향과 크기를 가진 성분입니다.
그리고 벡터를 행렬로 표시하면 $\begin{bmatrix}
x_{1} \\ x_{2}
\end{bmatrix}$ 이런 형태입니다.
이는 (0,0) 에서 $( x_{1}, x_{2} )$ 를 향하는 벡터를 의미합니다.
$\begin{pmatrix}
2 \\3
\end{pmatrix}$ 은, (0,0) 에서 (2,3)을 향하는 벡터를 의미하는 것이죠.
그리고 행렬은 이러한 벡터들의 집합으로 이해할 수 있습니다.
예를 들어 \begin{bmatrix}
2 & 4 \\
3 & 5\\
\end{bmatrix}이 행렬은 두 개의 열 벡터 $\begin{bmatrix}
2 \\3
\end{bmatrix}$ 와$\begin{bmatrix}
4 \\5
\end{bmatrix}$로 이루어진 벡터들의 모음입니다.
------
그럼 고윳값이란 무엇일까요?
고윳값은, 벡터가 선형 변환을 거친 후에도 크기나 방향이 변하지 않도록 하는 값을 말합니다.
조금 더 쉽게 말하면, 이렇습니다.

벡터가 행렬을 지나는 것을 '선형 변환' 이라 합니다.
선형 변환의 결과로는,
1. 크기와 방향이 같은 경우
2. 크기가 변한 경우
3. 방향이 변한 경우
4. 크기와 방향이 모두 변한 경우 로 나뉘는데
벡터의 크기와 방향이 모두 변하지 않게 한 값을 고윳값이라 하는 것입니다.
고윳값은 보통 λ 로 나타냅니다.
자.. 그럼 전공서에 뭐라고 적혀있는지 보겠습니다.
제 책에는,
n차 정방행렬 A에 대하여 Ax = λ x를 만족하는 벡터 x ≠ 0이 존재할 때,
λ를 A의 고윳값이라 하고 x를 이에 대응하는 고유벡터라고 한다.
라고 적혀있습니다.

그림으로 나타내면 이런 느낌이겠죠.
A는 nxn 인 정방행렬이고,
0이 아닌 벡터 x가 존재한다고 합니다. (x가 고유벡터라는 말도 있네요.)
여기서 Ax = λ x 라는 식이 만족하는데, λ는 고윳값이라고 하네요.
네, 어려워보이는 말이지만, 사실 이게 전부입니다.
그럼 이제 고윳값을 구할 수 있을 것 같은데 ..
문제가 하나 있습니다.
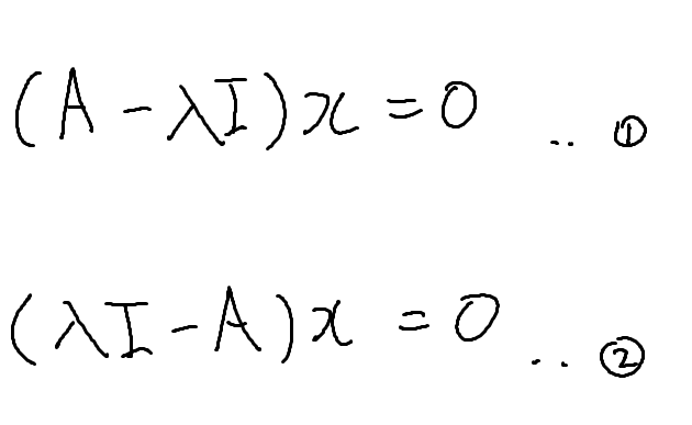
Ax는 nxn 의 행렬 형태를 띄지만, λ x 는 그 형태를 띄지 않아 값을 구하기 어렵습니다.
따라서, 수에 아무런 영향을 미치지 않는 단위 행렬 I 를 좌항에 곱해줍니다.
곱하기 1을 해준 것 처럼요.
그렇게 되면,

이제 행과 열이 둘 다 nXn 으로 맞춰져서 연산 가능하게 됩니다.
λ 값을 구하기 위해 전부 우항 (또는 좌항)으로 이항시켜, 한 쪽을 0으로 만들어줍니다.

이 때, x는 0이 아니라고 했으므로, 식이 성립하려면 괄호 안의 값이 0이 되어야 합니다.
또한, 그러기 위해선 (λ I-A)는 비가역적인 (역행렬이 존재하지 않는) 행렬이어야 하므로,
(λ I-A) 의 행렬식이 0이어야 합니다. [ det (λ I-A) = 0 ]
그럼 이제 고윳값을 구하는 간단한 예제를 풀어보겠습니다.
행렬 $A= \begin{bmatrix} 2 & 3 \\ 3& 2\\ \end{bmatrix}$ 의 고윳값을 구하라

풀이는 이렇습니다.
우선 Ax = λI x 를 먼저 적어둔 뒤에,
주어진 A가 몇 곱하기 몇 행렬인지 확인합니다.
여기서는 2x2 행렬이므로, 단위행렬 I 도 2x2 행렬로 나타내주고
λ 와 곱해주면 됩니다.
λ는 정수이므로 .. 행렬과 정수의 연산에 의해 I의 모든 원소에 λ를 곱해준 것입니다.
이제 (λI - A) 도 행렬의 빼기 연산으로 계산해주고,
행렬식을 구해 λ 값을 구해주면, A의 고윳값을 구할 수 있는 것입니다.
행렬 $A=\begin{bmatrix}
1 & 2 & 3 \\
0 & 4 & 5 \\
0 & 0 & 6 \\
\end{bmatrix}$ 의 고윳값을 구하라

3x3 행렬의 경우에도 과정은 똑같습니다.
A가 3x3 행렬이므로 단위행렬 I도 3x3 행렬로 맞추어주고, λ에 곱해주면 됩니다.
( λI - A) 을 빼기 연산 해준 뒤, 행렬의 행렬식을 구해주면
고윳값 λ가 1, 4, 6임을 알 수 있습니다.
다음은 고유 벡터입니다.

아까 봤던 이 식에서, $ \begin{bmatrix}
x_{1} \\ x_{2}
\end{bmatrix}$ 이 부분을 고유벡터라고 합니다.
고유벡터를 구하기 위해선 고윳값이 필요하므로,
고윳값을 먼저 구해주어야 합니다.
그렇다면 바로 전 문제를 이렇게 고쳐보도록 하겠습니다.
행렬 $A= \begin{bmatrix} 2 & 3 \\ 3& 2\\ \end{bmatrix}$ 의 고윳값과 고유벡터를 구하라

λ = -1, 5 임을 이미 구했으므로,
λ = -1 인 경우와 λ = 5 인 경우로 나누어 각각의 고유벡터를 구합니다.
λ 에 고윳값을 넣고, 고유벡터 x를 곱해주었을 때 나오는 연립 방정식을 풀어주면
고유벡터를 쉽게 구할 수 있습니다.
-----------------------------------------------------------------------------
고윳값 문제 예제를 찾기가 힘들어서 들어오신 분들과
예제 문제를 더 풀어보고 싶으신 분들은 아래 사이트를 이용해주시면 좋겠습니다.
https://matrixcalc.org/ko/vectors.html
고유 값과 고유 벡터
행렬 A: 구하기 더 자세한 내용: 대각선 행렬 조던 분해 행렬 지수 특이 해 분리
matrixcalc.org
이 주소를 눌러주면, 이런 창이 뜨는데

(좌측의 고유값 계산기를 클릭 -> 행렬 임의로 입력 -> 구하기)
A 행렬에 아무 숫자나 넣고 계산해보신 뒤에 결과가 맞는지 확인해 보시면 됩니다. :)

위의 $\begin{bmatrix}
2 &3 \\
3& 2 \\
\end{bmatrix}$ 를 돌려보면, 고유값과 고유벡터가 이렇게 나오는 것을 확인할 수 있습니다.